Ludwig von Helmholtz
physiologiste et acousticien prussien
1821 - 1894

 

 

D'abord médecin militaire il devient ensuite professeur d'anatomie et de physiologie puis professeur de physique. Il a été professeur de Max Planck

Pour ce qui nous concerne , on retiendra de ses travaux la définition de l'énergie potentielle, sa formulation de la conservation de l'énergie ainsi que ses travaux sur l'importance des harmoniques sonores.


L'assemblage des deux bobines ci-dessous destiné à créer un champ magnétique régulier mais faible à pris le nom de bobines de
Helmholtz

 

Ces bobines de rayon R et écartées d'une distance R sont souvent utilisées pour supprimer l'effet du champ magnétique terrestre sur une application qui serait située entre ces bobines, là où les lignes de champ sont linéaires . Le champ peut être calculé à l'aide de la loi de Biot et Savart

 

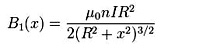
Cette formule donne l'induction créée par une bobine en son centre à une distance x de l'axe où:
µ0 est la perméabilité du vide = 4π 10-7
n  = le nombre de spires
I =  Intensité du courant
R = Rayon de la bobine
x = distance du point intéressé par rapport à l'axe de la bobine
  Formule obtenue à l'aide du théorème de superposition pour l'assemblage de deux bobines

on pourra étudier expérimentalement le champ créé par les deux bobines  à l'aide d'une animation sur le site de l'université du Mans à l'adresse suivante:

http://ressources.univ-lemans.fr/AccesLibre/UM/Pedago/physique/02/electri/bobines.html?width=80%2525&height=80%2525&jqmRefresh=false

Numéro de la Fiche 34
Dernière mise à jour 15-01-2013