|
|
Heinrich LENZ
Énonce la loi de l'induction magnétique |
||||
|
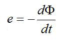
Lenz est un physicien né à Tartu en Estonie en 1804 et décédé à Rome en Italie en 1865. Professeur à l'Université de Saint-Pétersbourg. Il refait les
expériences Faraday découvre en 1831 l'induction électromagnétique et Lenz
énonce la loi en 1833 qui précise le sens du courant induit dans la seconde
bobine. Le courant produit dans la seconde bobine produit lui même un champs
magnétique qui s'oppose au champ qui lui a donné naissance La figure ci-dessous montre une expérience réalisée à l'université de Nantes . Deux bobinages , l'un est placé à l'intérieur de l'autre. Si l'on applique au bobinage extérieur des rampes fournies par un générateur basse fréquence, on recueille aux bornes de la bobine placée à l'intérieur des signaux "carrés" . Lorsque la rampe monte de façon bien linéaire, la variation de flux magnétique à l'intérieur de la première bobine (placée hors de tout circuit magnétique, donc pas de phénomène de saturation) est constante ( attention c'est la variation qui est constante et non pas le flux) . La variation de flux produit une tension constante dans la seconde bobine, lorsque la rampe s'inverse, la tension change de signe. Cette expérience illustre la loi de Faraday-Lenz:
http://www.sciences.univ-nantes.fr/sites/jacques_charrier/tp/lenz/lenz.html | |||||
|
|||||